Premium Resources

We know the secret of your success

ASB 4417 MARKET RISK ANALYTICS 2018/2019

$28.00

ASB 4417 MARKET RISK ANALYTICS

End of Spring Semester Examinations 2018/19

QUESTION 1)

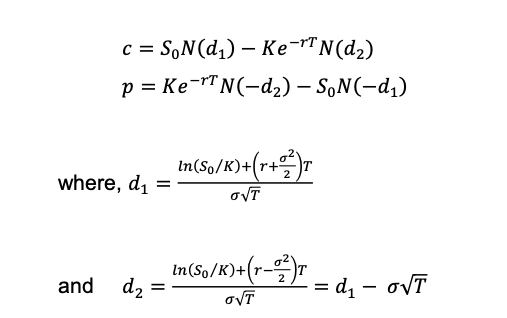
Consider the Black-Scholes-Merton formula:

a). Provide a critical interpretation of ????(????2).

(10 Marks)

b). Critically discuss the effect on c and p, when there is an increase in:

i. S0

ii. σ

iii. T

(15 Marks)

Ans.(a).

N(d2) denote the probability that outcomes of less than d1 and d2, respectively, will occur in a normal distribution that has a mean of 0 and a standard deviation of 1.

The expected value of the payment of the exercise price is the exercise price times the probability of stock price exceeding exercise price (probability of exercise):

-X* P(ST>X)

Determine the present value of the expected value of the payment by discounting this expected value using the risk-free interest rate over the time remaining to the expiry of the option:

-X* P(ST>X)* e-rt

Hence comparing this with the second portion of the call option value equation above, -X* P(ST>X)* e-rt = – Xe-rtN(d2), we see that N(d2) = P(ST>X). N(d2) is the risk adjusted probability of the Black Scholes Model that the option will be exercised.

Example:

Consider a call option that expires in three months and has an exercise price of $40 (thus T = .25 and E= $40). Furthermore, the current price and the volatility of the underlying common stock are $36 and 50%, respectively, whereas the risk-free rate is 5% (thus Px = $36, R= .05 and alpha = .50

The following values d1 and d2:

d1 = ????1 = ????????(????0⁄????)+(????+ ???? 2/ 2 /)???? ????√t

d1 = ln(36/40) + [.05+.5(50)2].25/ .50√.25

= -.25

d2 = -.25 - .50√.25 = -.50

It can be used to find the corresponding values of N (d2)

N (d2) = N (-.50) = .3085

Ans. (b).

The following are the terms in Black – Scholes Model:

C= Call option price

P= Current market price of the underlying stock

S0= Current stock (or other underlying) price

T= Time to maturity

 σ = The volatility of the underlying stock

When there is an increase in S0, T and σ, the call option price and the current stock price in different situation decreases and sometimes increases.

When there is an increase in current stock price S0, the effect on call options and the current market price of that underlying will decrease because of the call in the money situation at the payoff point. If the time horizon increases regarding its maturity, then the call option price and the current underlying price of the stock will also increase because of extended time and the risk-free rate is constant and known. Borrowing and lending are both at the risk-free rate for a certain time period. If there is an increase in the volatility of the underlying stock, then the call option price and the P will constant because the volatility of the returns on the underlying asset is constant and known. The price of the underlying changes does not jump abruptly.

QUESTION 2)

 a. Critically discuss the difference between the payoff at maturity and the value of a call option according to the BSM formula.

(15 Marks)

 b. Explain why the time value of an option is larger when the option value is close to K.

(10 Marks)

 

QUESTION 3)

a. Use a numerical example to show how an interest rate swap contract works. 

(10 Marks)

b. Explain how the comparative advantage argument applies to the swap market.

(15 Marks)

QUESTION 4)

a). Consider a long call option on 100 shares with K=£100, S0=£100, r=3%, σ=15%, T = 5 months. Using the information in Table 1, that shows one scenario for how the underlying stock price might move over the following 5 months, design a delta hedging strategy for this long call option. In this case, you can ignore the interest paid (accrued) from borrowing (lending)

                 Table 1

Month

Stock Price (£)

Delta

0

100

0.57

1

105

0.76

2

110

0.92

3

103

0.72

4

97

0.27

5

93

0.00

(15 Marks)

b). Three option traders have sold (short position) a call option on 1,000 shares with K=50, S0=49, r=5%, σ=10%, T = 10 weeks. The first trader has opted for a ‘naked position’, the second trader has opted for a ‘covered position’, and third trader has opted for a ‘dynamic delta-hedging’ strategy. Identify what these three positions are in relation to the short call option position, and critically discuss the benefits and potential drawbacks of each strategy.

(10 Marks)

Q.5: An investor has a long position in the FTSE 100 index, which currently stands at a value of 7000, and is concerned about the possibility of a dramatic drop in the value of the index due to the uncertainty surrounding ‘Brexit’. Critically explain how the investor can use either a Forward contract or a ‘range-forward’ type strategy to hedge this risk, and provide three examples. Provide detailed explanations for the benefits and possible drawbacks of the three strategies, and which strategy you would recommend, and why.

(25 Marks)

(Purchase full paper by adding to cart)

Last updated: Apr 19, 2020 12:26 PM

Can't find a resource? Get in touch

AcademicianHelp

Your one-stop website for academic resources, tutoring, writing, editing, study abroad application, cv writing & proofreading needs.

Get Quote
TOP