Premium Resources

We know the secret of your success

M208/G - PURE MATHEMATICS - 2019

$35.00

PURE MATHEMATICS

EXAM DATE: THURSDAY 13, JUNE 2019

COURSE CODE: M208/G

QUESTION 1

This question concerns complex numbers

Z1 = 1-i, Z2 = 3+4i

a) draw a diagram showing Z1 and Z2 in the complex plane

b) find the modulus and principal argument of Z1

c) Express  Z1/Z2 in cartesian form

Answers (Purchase full paper to get all solutions):

1a) Z1 = 1-i, Z2 = 3+4i

Diagram of Z1 and Z2 on a complex plane

QUESTION 2

2a) write down the converse of the following statement about positive integers m and n

                             if 7 divides each of m and n, then 7 divides 3m + n

b) of the statement given in part (a) and its converse, one is true and the other is false.

      Prove the true statement and give a counterexample to the false statement.

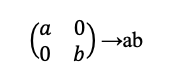
QUESTION 3

This question concerns the matrix

 

Using row-reduction to show that A is invertible and to determine inverse A -1

QUESTION 4

Let t be the linear transformation

t : R3 →R3

(x,y,z) → (x-y, y-z, z-x)

  1. Find ker(t), and state its dimension
  2. State the dimension of Imt, and find a basis for Imt

QUESTION 5

This question concerns the group (G, ×15)

                            G = {1,4,7,13}

  1. show that this group is cyclic
  2. find all the subgroups of this group, explaining how you know that you have found all of them.
  3. Find the isomorphism ∅ that maps (G, ×15) to (R4, +4)

QUESTION 6

The group G is defined by the following group table, and H ={e,p,s} is a subgroup of G.

 

e

p

q

r

s

t

u

v

w

x

y

z

e

e

p

q

r

s

t

u

v

w

x

y

z

P

p

s

r

t

e

q

w

x

y

z

u

v

q

q

r

p

s

t

e

v

w

x

y

z

u

R

r

t

s

e

q

p

x

y

z

u

v

w

S

s

e

t

q

p

r

y

z

u

v

w

x

T

t

q

e

p

r

s

z

u

v

w

x

y

U

u

y

z

x

w

v

r

q

p

e

t

s

V

v

z

u

y

x

w

s

r

p

q

e

t

w

w

u

v

z

y

x

t

s

r

p

q

e

X

x

v

w

u

z

q

e

t

s

r

p

q

Y

y

w

x

v

u

z

q

e

t

s

r

p

(a) Write down all the distinct left cosets of H in G.

(b) Show that H is a normal subgroup of G

(c) Construct the group table of the quotient group G/H, and state a standard group that is isomorphic to this quotient group

QUESTION 7

Then (G, X) is a group

R: (G,x) → (R+, x)

 

(a) Prove that φ is a homomorphism.

(b) Determine the kernel and image of φ.

(c) State a standard group that is isomorphic to the quotient group G/Kerφ, justifying your answer briefly.

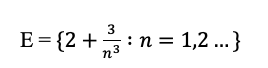
QUESTION 8

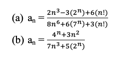
Determine whether each of the following sequences (an) converges, naming any result or rule that you use. If a sequence does converge, then find its limit

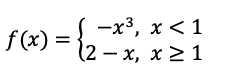
QUESTION 9

This question concerns the function

 

(a) Sketch the graph of f.

(b) State whether f is continuous at 1, and prove your statement.

(c) State whether f is differentiable at 1, and prove your statement

QUESTION 10

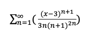
(a) Determine the interval of convergence of the power series

(b) State the radius of convergence of the power series

and give a brief reason for your answer

Question 11

This question concerns matrix

(a) Show that (1,0,1) is an eigenvector of A, and find the corresponding eigenvalue.

(b) Use the characteristic equation of A to check that the eigenvalue that you obtained in part (a) is correct, and to find the remaining eigenvalues of A.

(c) Determine the eigenspaces of A.

(d) Find an orthonormal eigenvector basis of A.

(e) Write down an orthogonal matrix P and a diagonal matrix D such that P−1AP = D

QUESTION 12

This question concerns the permutations p = (1 2 3 4) (5 6) and q = (1 3 5 6) in S6.

  1. (i) Find each of the following in cycle form:

(iii) Write q as a composite of transpositions, and hence determine its parity. 

  1. (i) Determine the subgroup H of S6 generated by p, giving its elements in cycle form.

(ii) Explain why r = (1 5 2 6) is conjugate to q in S6, and determine four permutations in S6 that conjugate r to q

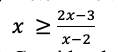
QUESTION 13

       a. Determine the solution set of the inequality 

       

       b. Consider the equation

x2 + cos(πx) −2=0

        (i) Prove that the equation has at least one solution in the interval (1,2).

         (ii) Find an interval of length 1/2that contains at least one solution of the equation.

  1. Determine the greatest lower bound of the set

QUESTION 14

Let ∧ be defined by g∧(x,y) = (x,y +2gx),

for all g ∈R and all (x,y)∈ R2

(a) Show that ∧ is a group action of the group (R,+) on the plane R2.

(b) Find the orbit of each of the following points:

(1,0);  (0,1);  (2,0).

QUESTION 15

(a) Let

 =

Last updated: Sep 02, 2021 03:15 PM

Can't find a resource? Get in touch

AcademicianHelp

Your one-stop website for academic resources, tutoring, writing, editing, study abroad application, cv writing & proofreading needs.

Get Quote
TOP