Premium Resources

We know the secret of your success

M208/G - PURE MATHEMATICS - 2016

$35.00

PAPER TITLE: PURE MATHEMATICS

EXAM DATE: FRIDAY 3, JUNE 2016

COURSE CODE: M208/G

 

Question 1

Sketch the graph of the function f defined by

Your sketch should identify:

(a) any asymptotes to the graph;

(b) any points where the graph crosses the axes

The sketch of the graph

Answers (Purchase full paper to get all solutions):

  1. The vertical asymptotes of the graph is obtained by equating the denomination to zero

2x+1 = 0

2x=-1

x=-1/2

x = -0.5

therefore, Va = -0.5

the horizontal asymptotes(Ha) equal the degree of the numerator and the denominator = 1

       b. the point is indicated on the graph

Question 2

Let ∼ be the relation defined on Z by

 x ∼ y if x−y is divisible by 5.

Prove that ∼ is an equivalence relation

Question 3

The set {1,2,4,8,11,16} forms a group G under multiplication modulo 21. (You are NOT asked to prove this statement.)

(a) Show that G is cyclic, by finding a generator of G.

(b) Find all the distinct subgroups of G.

(c) Find an isomorphism that maps (G,×21) to (Z6,+6)

Question 4

The group table of a group G is shown below. (You are NOT asked to prove that G is a group.)

 

e

a

b

c

d

f

g

h

e

e

a

b

c

d

f

g

h

a

a

b

c

e

h

g

d

f

b

b

c

e

a

f

d

h

g

c

c

e

a

b

g

h

f

d

d

d

g

f

h

e

b

a

c

f

f

h

d

g

b

e

c

a

g

g

f

h

d

c

a

e

b

h

h

d

g

f

a

c

b

C

(a) Show that H ={e,d} is a subgroup of G.

(b) Write down the distinct left cosets of H in G.

(c) Explain why H is a normal subgroup of G.

(d) Determine a group that is isomorphic to the quotient group G/H, justifying your answer

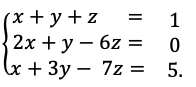
Question 5

This question concerns the system of linear equations

(a) Write down the augmented matrix for this system of linear equations.

(b) Find the row-reduced form of the matrix that you wrote down in part (a).

(c) Use your answer to part (b) to solve the system of linear equations above

Question 6

This question concerns the matrix

(a) Determine the eigenvalues of A.

(b) For each eigenvalue of A, find a corresponding eigenvector.

(c) Write down a matrix P and a diagonal matrix D such that P−1AP = D

Question 7

Determine the solution set of the inequality

Question 8

Determine whether each of the following sequences {an} converges, naming any result or rule that you use. If a sequence converges, find its limit.

Question 9

The diagrams below show the eleven non-identity elements of S().

The conjugacy classes of S() are{e}, {a,a5}, {a2,a4}, {a3}, {q1,q3,q5}, {q2,q4,q6}.

(a) Determine a normal subgroup of S() of order 2, a normal subgroup of order 3 and a normal subgroup of order 6. Justify your answers briefly.

(b) Show that H ={e,a3,q2,q5} is a subgroup of S() and explain briefly why it is not normal.

Question 10

This question concerns the group (C,+) and the function φ defined by

 : C C

      Z→ Z- iz

(a) Prove that s a homomorphism.

(b) Determine the kernel and image of .

 (c) Identify the quotient group C/Ker() up to isomorphism, justifying your answer briefly.

Question 11

The function f is defined on the interval [1,6] by

(a) Sketch the graph of f.

(b) Determine the values of the Riemann sums L(f,P) andU(f,P) for the partition P of [1,6] where P ={[1,3],[3,5],[5,6]}.

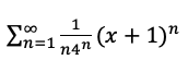
Question 12

Determine the interval of convergence of the power series

Question 13

The permutations p =(15)(234) and q = (2354) are elements of S5.

(a). (i) Find each of the following as a permutation in cycle form: p−1,q 2,p0q, p0q0p−1.

(ii) State the order of each of p, q, p0q and q2.

(iii) Write each of p, q and p0q as a composite of transpositions, and hence determine the parity of each of p, q and p0q.

(b). (i) Determine the subgroup H of S5 generated by p, giving the elements of H in cycle form.

(ii) Explain why s =(24)(135)is conjugate top in S5, and determine all the elements of S5 which conjugate s to p

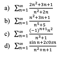
Question 15

Determine whether each of the following series converges, naming any result or test that you use

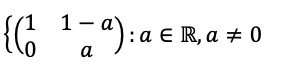
Question 16

The set of matrices

forms a group under matrix multiplication. (You are NOT asked to show that G is a group.)

(a) Show that the following equation defines a group action of G on the plane R2

The remainder of this question refers to the group action defined above.

(b) (i) Find the orbit of each of (1,0); (0,1); (1,1).

(ii) Give a geometric description of all the orbits of the action.

(c) Find the stabiliser of each of (1,0); (1,1).

(d) Find Fix

Question 17

a. For the following function f, sketch the graph of f and determine whether f is differentiable at 2. If f is differentiable at 2, then evaluate the derivative f’(2), naming any results or rules that you

b. Prove the inequality

c. Use the ε–δ definition of continuity to prove that the function

fx=x2- (x  R) is continuous at the point c = 3

(Purchase full paper by adding to cart)

Last updated: Sep 02, 2021 03:12 PM

Can't find a resource? Get in touch

AcademicianHelp

Your one-stop website for academic resources, tutoring, writing, editing, study abroad application, cv writing & proofreading needs.

Get Quote
TOP