Premium Resources

We know the secret of your success

M208/F - PURE MATHEMATICS - 2015

$35.00

PAPER TITLE: PURE MATHEMATICS

EXAM DATE: THURSDAY 4, JUNE 2015

COURSE CODE: M208/F

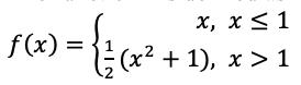
Question 1

Sketch the graph of the function f defined by

indicating clearly the main features

Answers (Purchase full paper to get all solutions):

The horizontal asymptotes(Ha) = 2

Question 2

The complex numbers Z1 and Z2 are defined as

Z1 = -2-2i, Z=3+2i.

(a) Draw a diagram showing ZandZ2 in the complex plane.

(b) Find the modulus and argument of Z1.

(c) Express Z1/Z2 in Cartesian form

Question 3

(a) Determine which of the following groups are cyclic, justifying your answer in each case. (You are NOT asked to prove that any of the following are groups.)

(i) ({1,4,7,13},×15)

(ii) ({1,4,11,14},×15)

(iii)({0,4,8,12},+16)

(b) Determine an isomorphism between two of the groups listed in part (a), justifying your answer

Question 4

The permutations p = (1 3 5)(2 4), q= (1 4 2 5) and r = (1 2)(3 4 5) are elements of S5.

(a) Write down each of the following as a permutation in cycle form: p0q and q−1.

(b) Write down the order and parity of each of p, q and p0q.

(c) Explain why p and r are conjugate in S5, and determine an element of S5 that conjugates p to r

Question 5

The position vectors of the points A and B in the plane are

 a = (4 ,−3) and b = (1 ,3),

respectively.

(a) Draw a sketch showing the points A and B, and the line l through A and B.

(b) Find the position vector r of a general point on the line l

(c) Find a point C on l whose position vector is perpendicular to l

Question 6

Find the matrix of the linear transformation

T: R2R2

(x,y) (2x+y, 2x-y)

with respect to

(a) the standard basis for both the domain and the codomain;

(b) the basis {(1,−3), (−1,4)} for the domain and the standard basis for the codomain;

(c) the basis {(1,−3),(−1,4)} for both the domain and the codomain.

Question 7

Determine whether or not each of the following sequences {an} converges, naming any result or rule that you use. If a sequence does converge, then find its limit

Question 8

Determine whether or not each of the following series converges, naming any result or test that you use.

Question 9

This question concerns the symmetry group G of the regular hexagon shown below.

Let g ∈ G be the anticlockwise rotation of the hexagon through an angle of 2π/3 about its centre, and let h ∈ G be the reflection of the hexagon in the line through the vertices at locations 1 and 4.

(a) Write g, g2 and h in cycle form, using the numbering of the locations of the vertices as shown above.

(b) Express the conjugate ghg−1 of h by g in cycle form and describe ghg−1 geometrically.

(c) Determine the conjugacy class containing the element (1 4)(2 3)(5 6).

Question 10

The set

forms a group under matrix multiplication. (You are NOT asked to prove that G is a group.) This question concerns the function ∅ defined by

         ∅: G→(R,+)

(a) Prove that ∅ is a homomorphism.

(b) Find Ker(∅).

(c) Find Im(∅), and hence explain why G/Ker(∅) ∼ = (R,+)

 

Question 11

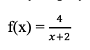
Prove that the following limit exists, and determine its value

Question 12

(a) Determine the Taylor polynomial T2(x) at 2 for the function

(b) Show that T2(x) approximates f(x) with an error less than 0.02 on the interval [2,3].

Question 13

The group G ={e,a,b,c,d,f,g,h,i,j,k,l} is defined by the following group table.

 

e

a

b

c

d

f

g

h

i

j

k

l

e

e

a

b

c

d

f

g

h

i

j

k

l

a

a

b

c

d

f

e

h

i

j

k

l

g

b

b

c

d

f

e

a

i

j

k

l

g

h

c

c

d

f

e

a

b

j

k

l

g

h

i

d

d

f

e

a

b

c

k

l

g

h

i

j

f

f

e

a

b

c

d

l

g

h

i

j

k

g

g

l

k

j

i

h

c

b

a

e

f

d

h

h

g

l

k

j

i

d

c

b

a

e

f

i

i

h

l

l

k

j

f

d

c

b

a

e

j

j

i

g

g

l

k

e

f

d

c

b

a

Question 14

This question concerns the matrix

a) Show that (0,1,0) is an eigenvector of A and find the corresponding eigenvalue.

(b) Use the characteristic equation of A to check the eigenvalue that you obtained in part (a), and find the remaining eigenvalues of A

(c) Find the eigenspaces of A.

(d) Find an orthonormal eigenvector basis of A.

(e) Write down an orthogonal matrix P and a diagonal matrix D such that PTAP = D

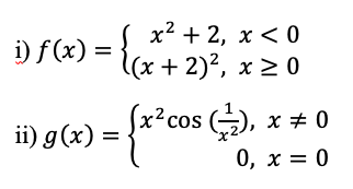
Question 15

a) Determine whether each of the functions defined below is continuous at 0, naming any results or rules that you use

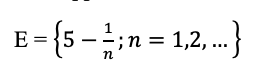
b) Determine the least upper bound of the set

Question 16

This question concerns the group (R, ×) and the plane R2.

(a). Show that the following equation defines a group action of Ron R2:

r (x,y) = (x, ry)

The remainder of this question refers to this group action.

(b). (i) Find the orbit of each of (1,0); (0,1); (−1,1).

(ii) Give a geometric description of all the orbits of the action

(c) Find the stabiliser of each of (1,0); (−1,1).

(d) Find Fix(5).

Question 17

  1. The function f is defined as follows:

  1. Sketch the graph of f.
  2. Determine whether or not f is diferentiable at 1. If f is diferentiable at 1, then evaluate the derivative f’(1). Name any results or rules that you use

        b. A function g is continuous on [1,5] and diferentiable on (1,5). Also, g(1) = 2 and |g’(x)|≤1 2 for x (1,5).  Use the Mean Value Theorem to prove that               

                0 ≤ g(5)≤ 4

        c. Prove the following inequality:

(Purchase full paper by adding to cart)

Last updated: Sep 02, 2021 03:11 PM

Can't find a resource? Get in touch

AcademicianHelp

Your one-stop website for academic resources, tutoring, writing, editing, study abroad application, cv writing & proofreading needs.

Get Quote
TOP