Premium Resources

We know the secret of your success

M208/F - PURE MATHEMATICS - 2010

$35.00

PAPER TITLE: PURE MATHEMATICS

EXAM DATE: WEDNESDAY 13, OCTOBER 2010

COUSRE CODE: M208/F

Question 1

Sketch the graph of the function f defined by

 

Your sketch should identify:

(a) any asymptotes to the graph;

(b) any points where the graph crosses the axes

ANSWER (Purchase full paper to get all the solutions):

The sketch of the graph

  1. The vertical asymptotes of the graph is obtained by eating the denomination to zero

3-x = 0

x = 0+3

x = 3

therefore, Va = 3

the horizontal asymptotes (Ha) equal the degree of the numerator and the denominator = 1

  1. the point is indicated on the graph

Question 2

Let be the relation defined on Z by

x y if x−y is divisible by 2.

Prove that is an equivalence relation

Question 3

The set {1,3,4,9,10,12} forms a group G under multiplication modulo 13. (You are NOT asked to prove this statement.)

(a) Show that G is cyclic, by finding a generator of G.

(b) Find all the distinct subgroups of G.

(c) Find an isomorphism φ that maps (G, ×13) to (Z6, +6).

Question 4

The permutations p = (1 5 4 2), q = (3 4 5) and r = (1 2 5) are elements of S5

  1. Write down each of the following as a permutation in cycle form:

p0q, p0q0p−1, p2

 (b) State the order and parity of each of p0q and p2.

(c) Explain why q and r, are conjugate in S5, and find a permutation of S5 in cycle form which conjugates q to r

Question 5

The position vectors of the points A and B in the plane are

a = (4 ,2) and b = (1 ,5), respectively.

(a) Draw a sketch showing the points A and B, and the line L through A and B.

(b) Determine the point C on the line L that lies one-third of the way along L from A to B.

(c) Show that the position vector of C is perpendicular to L

Question 6

This question concerns the matrix

 

(a) Determine the eigenvalues of A.

(b) For each eigenvalue of A, find a corresponding eigenvector.

(c) Write down a matrix P and a diagonal matrix D such that P−1AP = D

Question 7

Solve the inequality

       

Question 8

Determine whether or not each of the following sequences {an} converges, naming any result or rule you use. If a sequence does converge, find its limit.

 

Question 9

This question concerns the symmetry group G of the regular pentagon shown below.

Let g G be the reflection of the pentagon in the vertical line through the vertex at location 1 and let h G be the anticlockwise rotation of the pentagon through 2π/5 about its Centre.

(a) Write g, h and h2 in cycle form, using the numbering of the locations of the vertices as shown above.

(b) Express the conjugate ghg−1 of h by g in cycle form and identify this conjugate as a symmetry of the pentagon.

(c) Are the symmetries (1 5) (2 4) and (2 5) (3 4) conjugate as symmetries in G? Justify your answer.

Question 10

This question concerns the group (C, ×) and the function defined by

            : C→ C

                       Z

(a) Prove that is a homomorphism.

(b) Determine the kernel and image of .

(c) Identify the quotient group C*/Ker () up to isomorphism, justifying your answer

Question 11

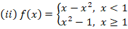
The function f is defined on the interval [−1,1] by

 

(a) Sketch the graph of f.

(b) Determine the values of the Riemann sums L(f, P) and U(f, P) for the partition P of [−1,1] where P ={[−1,],[ , ],[ ,1]}.

Question 12

Determine the interval of convergence of the power series

           

Question 13

The group G ={e,a,b,c,d,f,g,h,i,j,k,l,m,n,o,p} is defined by the following group table. (You are NOT expected to show that G is a group.)

(a) Find H, the cyclic subgroup generated by the element b.

(b) Show that K = {e,d,l,p} is a subgroup of G.

(c) Show that H is a normal subgroup of G, and that K is not a normal subgroup of G.

(d) Write down the elements of the quotient group G/H.

(e) Determine a group that is isomorphic to G/H, justifying your answer

Question 14

Let t be the linear transformation

t: R3 −→ R3

(x, y, z)−→ (x+y+2z, 2x+y +3 z, -x+2y+ z).

(a) Find Ker(t) and state its dimension. 

(b) Find a basis for Im(t). 

(c) Describe Im(t) geometrically and obtain an equation for it.

(d) Hence or otherwise, for each of the following systems of linear equations, determine how many solutions it has.

               

Question 15

(a) Determine whether or not each of the following series converges, naming any result or test that you use.

(i)  

(ii)  

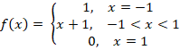
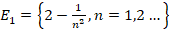
  1. Determine the least upper bound of each of the following sets.

Question 16

The set of matrices

                            G =

forms a group under matrix multiplication.

(You are NOT asked to show that G is a group.)

  1. Show that the following equation defines a group action of G on the plane R2.

 

The remainder of this question refers to the group action defined above.

  1. (i) Find the orbit of each of

                (1,0); (0,1); (1,1).

 (ii) Give a geometric description of all the orbits of the action.

  1. Find the stabiliser of each of

                (1,0); (0,1).

(d) Find Fix

Question 17

(a) For each of the following functions f, sketch the graph of f and determine whether f is diferentiable at 1. If f is diferentiable at 1, then evaluate the derivative f’(1). Name any results or rules you use.

           

           

b) Use the ε−δ definition of continuity to prove that the function

  is continuous at the point c = 1

(Purchase full paper by adding to cart) 

Last updated: Sep 02, 2021 03:10 PM

Can't find a resource? Get in touch

AcademicianHelp

Your one-stop website for academic resources, tutoring, writing, editing, study abroad application, cv writing & proofreading needs.

Get Quote
TOP