Premium Resources

We know the secret of your success

M208/F - PURE MATHEMATICS - 2009

$35.00

PAPER TITLE: PURE MATHEMATICS

EXAM DATE: WEDNESDAY 14, 0CTOBER 2009

COUSRE CODE: M208/F

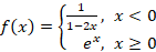
Question 1                                                                        

Sketch the graph of the function f defined by

 

indicating clearly the main features

ANSWERS (Purchase full paper to get all the solutions):

Sketch of the graph

The vertical asymptotes of the graph = 1

Question 2

The complex numbers  and  are defined as

  and .

(a) Draw a diagram showing  and  in the complex plane.

(b) Find the modulus and argument of .

(c) Express  in Cartesian form

Question 3

(a) Determine which of the following groups are cyclic. (You are NOT expected to show that these are groups.)

(i) G1 = ( {0,2,4,6},+8)

(ii) G2 = ( {1,4,13,16},×17)

(iii) G3 = ( {1,7,9,15},×16).

(b) Determine an isomorphism  between two of the three groups listed in part (a), justifying your answer

Question 4

The permutations p = (1324), q = (143) and r = (234) are elements of S4

  1. Write down each of the following as a permutation in cycle form:

p0q, p0q0p−1,p2.

  1. State the order and parity of p0q and p2.
  2. Find a permutation in cycle form which conjugates q to r.

Question 5

This question concerns the system of linear equations

 

(a) Write down the augmented matrix for this system of linear equations.

(b) Find the row-reduced form of the matrix that you wrote down in part (a).

(c) Use your answer to part (b) to solve the system of linear equations above

 

Question 6

Find the matrix of the linear transformation

T: R2R2

(x, y) (x+3y, 2x-y)

with respect to

(a) the standard basis for both the domain and the codomain.

(b) the basis {(3,2), (1,1)} for the domain and the standard basis for the codomain.

(c) the basis {(3,2),(1,1)} for both the domain and the codomain.

Question 7

Determine whether or not each of the following series converges, naming any result or test you use

  1.  

Question 8

Determine whether the function f, defined below, is continuous at 0.

 

Name any result or rule you use.

Question 9

The diagrams below show the eleven non-identity elements of S().

The conjugacy classes of S() are{e}, {a,a5}, {a2,a4}, {a3}, {q1,q3,q5}, {q2,q4,q6}.

Let H = {e, a3, q1, q4}

(a) Show that H is a subgroup of S().

(b) Show that S() has no normal subgroups of order 4.

Question 10

This question concerns the group (C,+) and the function φ defined by

 : C C

      Z→ Z - Z--

(a) Prove that ∅  is a homomorphism.

(b) Determine the kernel and image of .

 (c) Identify the quotient group C/Ker() up to isomorphism, justifying your answer briefly.

Question 11

Prove that the following limit exists and determine its value.

           

Question 12

  1. Calculate the Taylor polynomial T2(x) at 4 for the function

                       

      b) Show that T2(x) approximates f(x) with an error at most  on the interval [4,5]

Question 13

The group G ={e,a,b,c,d,f,g,h,i,j,k,l} is defined by the following group table. (You are NOT expected to show that G is a group.)

(a) Find H, the cyclic subgroup generated by the element g.

(b) Show that K = {e,b,d} is a subgroup of G.

(c) Show that K is a normal subgroup of G, and that H is not a normal subgroup of G.

(d) Write down the elements of the quotient group G/K.

(e) Determine a group from the course that is isomorphic to G/K, justifying your answer briefly

Question 14

This question concerns the matrix

                            A =

(a) Show that (1,2,1) is an eigenvector of A and find the corresponding eigenvalue.

(b) Use the characteristic equation of A to check the eigenvalue that you obtained in part (a), and find the remaining eigenvalues of A.

(c) Find the eigenspaces of A.

(d) Find an orthonormal eigenvector basis of A.

(e) Write down an orthogonal matrix P and a diagonal matrix D such that PTAP = D.

Question 15

(a) Determine whether or not each of the following sequences {an} converges, naming any result or rule you use. If it does converge, then find its limit.

  

 

 

  1. Determine the greatest lower bound of the set

E = 

Question 16

The set of matrices

G =  

forms a group under matrix multiplication. (You are NOT asked to show that G is a group.)

(a) Show that the following equation defines a group action of G on the plane R2

 (x, y) = (x, cx+y)

The remainder of this question refers to the group action defined above.

b (i) Find the orbit of each of

(1,0); (2,0); (0,1).

(ii) Give a geometric description of all the orbits of the action.

  1. Find the stabiliser of each of

(1,0); (0,1).

  1. (d) Find Fix

Question 17

(a) Let

 =

  1. Evaluate .
  2. By using integration by parts twice, or otherwise, show that a reduction formula for  is

                                =

  1. Hence determine the values of  and

(b) Prove that f(x)=3 x + 2 is uniformly continuous on I = R.

(Purchase full paper by adding to cart) 

Last updated: Sep 02, 2021 03:09 PM

Can't find a resource? Get in touch

AcademicianHelp

Your one-stop website for academic resources, tutoring, writing, editing, study abroad application, cv writing & proofreading needs.

Get Quote
TOP