Premium Resources

We know the secret of your success

M208/E - PURE MATHEMATICS - 2018

$35.00

PAPER TITLE: PURE MATHEMATICS

EXAM DATE: THURSDAY 7, JUNE 2018

COURSE CODE: M208/E

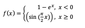
QUESTION 1

Sketch the graph of the function f defined by

indicating clearly the main features

Answers (Purchase full paper to get all solutions):

The vertical asymptotes(VA) of the function is 1

QUESTION 2

Let be the relation defined on Z by x y if x + y is divisible by 2. Prove that is an equivalence relation.

QUESTION 3

The Cayley table of a set G with the operation 0 is shown below

0

p

q

r

s

p

r

s

p

q

q

s

p

q

r

r

p

q

r

s

s

q

r

s

p

(a) Show that G is a group and clearly state its identity element. (You can assume associativity).

(b) Show that G is isomorphic to Z4.

(c) Write down all the subgroups of G.

(d) Explain why G is not isomorphic to a subgroup of S3

QUESTION 4

The permutations p = (12)(3456)and q = (13)(265) are elements of S6.

(a) Find poq as a permutation in cycle form and state its order.

(b) Write each of p and q as a composite of transpositions and hence determine the parity of each of p and q.

(c) Determine the cyclic subgroup H of S6 generated by p, giving the elements of H in cycle form.

(d) Explain why t = (123)(45) is conjugate to one of the elements p or q in S6, and determine an element in S6 which conjugates t to your chosen element.

QUESTION 5

The position vectors of the points A and B in the plane are a =(−3,1) and b = (3 ,4), respectively.

(a) Draw a sketch showing the points A and B, and the line l through A and B.

(b) Determine the point C on the line l that lies one-third of the way along l from A to B.

(c) Show that the position vector of C is perpendicular to l.

QUESTION 6

This question concerns the matrix

(a) Determine the eigenvalues of A.

(b) For each eigenvalue of A, find a corresponding eigenvector.

(c) Write down a matrix P and a diagonal matrix D such that P−1AP = D.

QUESTION 7

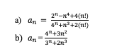
Determine whether each of the following sequences {an} converges or diverges, naming any result or rule that you use. If a sequence does converge, then find its limit.

QUESTION 8

Determine whether each of the following series converges or diverges, naming any result or test that you use.

QUESTION 9

This question concerns the group G of symmetries of the regular hexagon, where the sides are labelled as shown below

Let r be the symmetry given in cycle form as (135) (246), and s be the reflection of the hexagon in the axis shown.

(a) Describe r geometrically and write down s in cycle form, using the numbering of the sides as shown above.

(b) Express the conjugate symmetry rsr−1 in cycle form and describe this symmetry geometrically.

(c) Using cycle form, write down the conjugacy class containing the element r.

(d) Using cycle form, write down a subgroup of G of order 3 and explain why it is normal in G.

QUESTION 10

Let G = {   R}

Then (G, X) is a group

φ : (G,x) → (R+, x)

                           →a2

(a) Prove that φ is a homomorphism.

(b) Determine the kernel and image of φ.

(c) Identify the quotient group G/Kerφ up to isomorphism, justifying your answer briefly.

QUESTION 11

Prove that the following limit exists, and determine its value

QUESTION 12

Determine the interval of convergence of the following power series

  

QUESTION 13

The set G ={1,2,4,8,9,13,15,16} forms a group (G,×17) under the operation of multiplication modulo 17. (You are NOT asked to show that this is a group.) The group table is shown below.

×17

1

2

4

8

9

13

15

16

1

1

2

4

8

9

13

15

16

12

2

4

8

16

1

9

13

15

4

4

8

16

15

2

1

9

13

8

8

16

15

13

4

2

1

9

9

9

1

2

4

13

15

16

8

13

13

9

1

2

15

16

8

4

15

15

13

9

1

16

8

4

2

16

16

15

13

9

8

4

2

1

(a) For each element g in G, write down the cyclic subgroup of G generated by g, and write down the order of g.

(b) Is G cyclic? If so, write down all the generators of G. If not, explain why not.

(c) Write down an isomorphism between (G, ×17 and (Z8,+8) which maps 2 to 1. Show clearly which element of G is mapped to which element of Z8.

(d) Write down all the subgroups of G, justifying your answer.

(e) For each subgroup H of G, write down the distinct left cosets of H in G.

(f) Explain why all the subgroups of G are normal

QUESTION 14

Let t be the linear transformation

t : R3 →R3

(x,y,z) |→ (x+2y+z, x+ 5z, -x-3y+z)

  1. Find ker(t), and state its dimension
  2. Find the basis for Im(t)
  3. Describe Im(t) geometrically, and find an equation for it
  4. Hence, or otherwise, for each of the following systems of linear equations, determine how many solutions it has

 

QUESTION 15

  1. Determine whether or not each of the functions f is continuous at 0.\

 

  1.  

 

  1.  

QUESTION 16

This question concerns the group (R,×) and the plane R2.

(a) Show that the following equation defines a group action of R on R2. r(x,y)=(rx,y). The remainder of this question refers to the group action given above.

(b)

(i) Find the orbit of each of (0,1); (1,0); (1,−2).

(ii) Give a geometric description of all the orbits of the action.

(c) Find the stabiliser of each of (0,1); (1,−2).

(d) Find Fix(2)

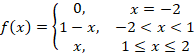
QUESTION 17

The function f is defined on the interval [−2,2] by

a)

(i)Sketch the graph of f.

(ii) Determine the values of the Riemann sums L(f,P) and U(f,P) for the partition P of [−2,2] where P = {[−2,−1],[−1, 1 2],[1 2,1],[1,2]}

b)

let

 =.

  (i) Evaluate I0

  (ii) Prove that, for n≥ 1,

 =

  (iii) Hence determine the values of  I1 and I2

(Purchase full paper by adding to cart)

Last updated: Sep 02, 2021 03:13 PM

Can't find a resource? Get in touch

AcademicianHelp

Your one-stop website for academic resources, tutoring, writing, editing, study abroad application, cv writing & proofreading needs.

Get Quote
TOP