Premium Resources

We know the secret of your success

M208/D - PURE MATHEMATICS - 2014

$35.00

PAPER TITLE: PURE MATHEMATICS

EXAM DATE: WEDNESDAY 4, JUNE 2014

COURSE CODE: M208/D

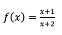
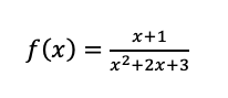
Question 1

Sketch the graph of the function f defined by

Your sketch should identify:

(a) any asymptotes to the graph;

(b) any points where the graph crosses the axes

Answers (Purchase full paper to get all solutions):

The sketch of the graph

  1. The vertical asymptotes of the graph is obtained by eating the denomination to zero  

2x+1 = 0

2x=-1

x=-12

x = -0.5

therefore, Va = -0.5

the horizontal asymptotes(Ha) equal the degree of the numerator and the denominator = 1

         b. the point is indicated on the graph

Question 2

  1. Write down the converse of the following statement for positive integers n and m.

If 3 divides each of the integers n and m, then 3 divides n + m.

  1. Of the statement in part (a) and its converse, one is true and one is false. Prove the true statement, and give a counter-example for the false statement

Question 3

For each of the following sets, with the binary operation given, determine whether or not it forms a group, justifying your answer.

 (a) ({1,3,7,9,11},×20)

(b) ({32k, k∈ Z},×

Question 4

The set G = {1,3,5,7,9,11,13,15} forms a group under multiplication modulo 16. (You are NOT asked to prove this result.)

(a) Show that H = {1,7} is a subgroup of G.

(b) Determine the left cosets of H in G.

(c) Explain why H is a normal subgroup of G.

(d) Determine a group to which the quotient group G/H is isomorphic.

Question 5

The position vectors of the points A, B and C are

a = (4,−3),b = (1 ,3) and c = (2 ,1),

 respectively.

(a) Draw a sketch showing the points A, B and C and the line through A and B.

(b) Write down the position vector of a general point on AB, and hence show that C lies on AB.

(c) Show that the position vector of C is perpendicular to AB.

Question 6

This question concerns the matrix

 

 (a) Determine the eigenvalues of A.

(b) For each eigenvalue of A, find a corresponding eigenvector.

(c) Write down a matrix P and a diagonal matrix D such that P−1AP = D

Question 7

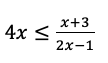
Determine the solution set of the inequality

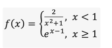
Question 8

Determine whether the function f, defined below, is continuous at 1.

Question 9

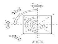
The diagram below shows the seven non-identity elements of the symmetry group of a square, S().

The conjugacy classes of S() are {e}, {b}, {a,c}, {r,t}, {s,u}.

(a) Determine a normal subgroup of S() of order 2 and a normal subgroup of order 4. Justify your answer briefly.

(b) Find one subgroup H of S() of order 2 which is not normal, and determine the conjugate subgroup aHa−1, justifying your answer

This question concerns the group (C,+) and the function φ defined by:

∅: C −→ C

Z→ -Z-Z

(a) Prove that φ is a homomorphism.

(b) Determine the kernel and image of ∅.

(c) Identify the quotient group C/Ker(∅) up to isomorphism, justifying your answer briefly

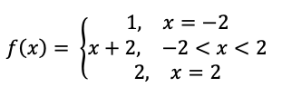
Question 11

Prove that the following limit exists, and determine its value.

Question 12

The function f is defined on the interval [−2,2] by

(a) Sketch the graph of f.

(b) Determine the values of the Riemann sums L(f,P) and U(f,P) for the partition P of [−2,2] where P ={[−2,0],[0,1],[1,2]}.

QUESTION 13

The permutations p = (1 3 6)(2 5) and q = (1 2 4 6)(3 5) are elements of S6.

  1. (i) Find each of the following as a permutation in cycle form:

p2,q 0p, q−1,q 0p0q−1.

              (ii) State the order of each of p, q, p2 and q0p.

             (iii) Write each of p, q and q0p as a composite of transpositions, and hence determine the parity of each of p, q and q0p.

  1. (i) Determine the subgroup H of S6 generated by p, giving the elements of H in cycle form. 

(ii) Explain why r = (1 2 3 4)(5 6) is conjugate to q in S6, and determine all the elements in S6 which conjugate r to q

Question 14

Consider the following subset of R3.

S = {(a, b, a +2 b): a, b ∈ R }

(a) Show that S is a subspace of R3.

(b) Show that {(2,1,4), (1,−1,−1)} is a basis for S, and write down the dimension of S.

(c) Find an orthogonal basis for S that contains the vector (2,1,4).

(d) Express the vector (3,5,13) in S as a linear combination of the vectors in the orthogonal basis for S that you found in part (c).

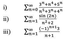
Question 15

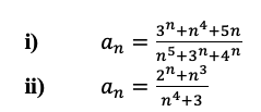
  1. Determine whether or not each of the following sequences {an} converges, naming any result or rule that you use. If a sequence does converge, then find its limit

         b. Determine whether or not each of the following series converges naming any result or test that you use

Question 16

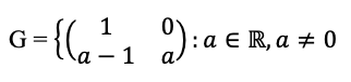
The set of matrices

forms a group under matrix multiplication. (You are NOT asked to show that G is a group.) (a) Show that the following equation defines a group action of G on the plane R2

The remainder of this question refers to the group action defined above.

b(i) Find the orbit of each of (1,0); (0,1); (1, -1).

(ii) Give a geometric description of all the orbits of the action 

      c. Find the stabiliser of each of (1,0); (1, -1).

      d. Find Fix 

Question 17

(a) Determine the Taylor polynomial T2(x) at 2 for the function

Show that T2(x) approximates f(x) with error less than 1/2000 on the interval [2,2.5]

b(i) Use the ε−δ definition of continuity to prove that the function

fx=2x2- x is continuous at 3.

(ii) Determine whether the function

is uniformly continuous on the interval [0,2], justifying your answer briefly

(Purchase full paper by adding to cart)

Last updated: Sep 02, 2021 03:11 PM

Can't find a resource? Get in touch

AcademicianHelp

Your one-stop website for academic resources, tutoring, writing, editing, study abroad application, cv writing & proofreading needs.

Get Quote
TOP