Premium Resources

We know the secret of your success

S295/D - THE BIOLOGY OF SURVIVAL - 2017

$28.00

S295/G

Module Examination 2017

THE BIOLOGY OF SURVIVAL

PART A

Short answer questions Answer all SIX questions in this first part of the exam. Write your answers in the answer book provided, limiting your answer for each part of a question to a few sentences or more. You are advised to spend no more than 1 hour 15 minutes on this Part A of the paper, which carries 30 of the total marks for the examination. Each question is worth 5 marks.

Question 1

Chaerodes trachyscelides are highly specialised sand-burrowing beetles, confined to a narrow strip of sand at and just above high water level on sandy marine beaches in New Zealand. Their dorsal (upper) surface can vary in colour from very dark brown, to pale yellow, and this colouration is genetically determined. It has been suggested that the variable colouration has evolved by natural selection as a result of predation. Some beaches contain sand with uniform dark appearance, and others have lighter sand, whereas others have a large variation in sand colour.

What kind of selection (directional, stabilizing or disruptive) would you expect to operate on each of the following beaches, and what would be the likely evolutionary outcome for the sand-burrowing beetle in each case?

(a) A beach where the sand colour remains uniform over many years, and is pale brown.

 (b) A beach where the sand colour has become gradually lighter over a number of years.

 (c) A beach on which a large expanse of pale golden sand is visible at low tide but where there is also an area of black sand at the back of the beach, which has remained in place for many years.

Question 2

Lack of water is a major challenge for plants growing in extreme habitats. Describe the water conservation strategies used by plants and explain how they are effective.

Question 3

(a) Mistletoe (Viscum album) grows on several different species of tree, such as apple (Malus spp.). Mistletoe is able to photosynthesise but is dependent on the host species for water and mineral nutrients, thereby reducing the tree’s growth and development.

Describe the type of interaction happening between these two species. Make it clear how the fitness of each species is affected by the presence of the other. Use the notation +, -, 0 in your answer.

(b) Many interactions between two species are mutualistic. Explain what mutualism is and outline how mutualism between two species evolves over time. Provide an example.

Question 4

Look at the phylogeny shown in Figure 1 and answer the questions which follow:

 

 (a) Give an example of two insect orders which are sister groups, according to the phylogeny in Figure 1.

 (b) Which orders form the clade which is the sister group to the Coleoptera?

 (c) Which order of insects shown in Figure 1 has the most complex social organisation? Give an example of social behaviour in a member of this order.

 (d) Are ants and termites monophyletic or paraphyletic? Explain your answer.

 (e) Which of the lineages shown in Figure 1 is the most ancestral. Explain your answer.

Question 5

(a) State the two main social contexts in which male fiddler crabs use their enlarged claw as a communication signal.

(b) How may the use of the enlarged claw in different social contexts represent a trade-off in fiddler crab behaviour?

Question 6

Briefly describe the different types of food consumed by ants. Explain why these pose problems for conventional views of food webs and trophic levels.

PART B

Data handling and interpretation question

Answer ALL parts of the question in Part B of the examination. You are advised to spend about 1 hour on this question. This part carries 25 of the marks for this examination.

Show all your working for calculations.

Question 7

The lesser horseshoe bat (Rhinolophus hipposideros) has declined across Europe in recent decades. At the same time, populations of the common pipistrelle bat (Pipistrellus pipistrellus) have increased. It has been suggested that the increase in pipistrelles and the decline in lesser horseshoe bats may be linked. Lesser horseshoe bats weigh between 4 and 9 grams. Pipistrelles weigh between 3 and 8 grams. They are two of the smallest bats in Europe and both species feed on small insects. The ‘true flies’ (family Diptera) are a major food source, making up about 40% of the diet of both bat species.

 

(a) The two bat species differ slightly in body size. In general, how do differences in body size affect the amount and type of prey eaten by predators? Explain your answer.

 

An investigator was interested in studying the diet of the two bat species in southern Britain to see whether there was overlap in the size of the prey species that they were catching and eating. She thought that overlap in the diet might be evidence of competition between the species. She decided to focus on Diptera and to see whether the two bat species differed in the size of their captured prey. She was able to estimate prey size by examining the size of individual fly wings extracted from bat droppings.

(b) Write down an appropriate main hypothesis and null hypothesis for this study.

(c) The investigator collected 15 Diptera wings from droppings of each bat species and measured the length of each. She assumed that one wing represented one prey item. In planning her study she had expected to use a t-test to compare data from the two bat species. After collecting and examining the data she decided to use a Mann-Whitney U test instead of the t-test.

(i) Explain her initial decision to use a t-test.

(ii) With reference to Figure 2 on the next page, explain why she changed her mind and used a Mann-Whitney U test instead of a t-test.

Figure 2 The distribution of wing lengths of prey items in the diet of (a) R.hipposideros and (b) P. pipistrellus

Table 1 shows the data collected in the investigation and their ranks.

Table 1 Wing lengths (mm) of flies found in bat droppings and ranks for the two samples

Replicate

Species

Ranks

R. hipposideros

P. pipistrellus

R. hipposideros

P. pipistrellus

1

7.13

6.83

15

14

2

5.31

5.25

8

7

3

5.99

5.89

11

10

4

3.81

3.45

6

5

5

17.24

11.59

28

23

6

15.89

17.38

27

29

7

12.57

11.15

25

22

8

20.27

9.89

30

20

9

9.28

12.47

19

24

10

6.59

8.26

13

17

11

15.54

6.4

26

12

12

8.93

11.03

18

21

13

3.26

8.04

4

16

14

2.52

2.62

2

3

15

5.34

1.22

9

1

Table 2 Summary of data collected to compare wing lengths of flies recorded in droppings of two bat species.

Parameters

R. hipposideros

P. pipistrellus

Sample size (n)

15

15

Mean (mm)

9.31

8.1

Standard deviation (mm)

5.63

4.27

Median (mm)

7.13

8.04

Range (mm)

2.52 - 20.27

1.22 - 17.38

 

(d)     Which three of the five parameters from Table 2 would be the most appropriate to use for summarising the data?

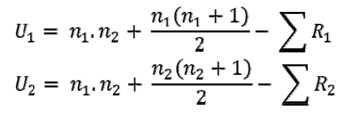
The Mann-Whitney U test involves calculating a value (U) for each sample. The test statistic used in the test is the smaller of the two values. The formulae for U are shown below.

Here n1 and n2 are the sizes of the two samples and ∑R1 and ∑R2 are the sums of ranks for the two samples.

(e) Calculate U1 and U2 and identify the value of U to be used as the MannWhitney test statistic. Show your working.

The critical value for the test was 64.

(f) Report the outcome of the test.

(g) Use the data in Figure 2 and Table 2 to explain the result in part (f).

(h) Considering your answer to part (a) and the results of the statistical test, briefly contrast the patterns of data shown in Figure 2(a) with Figure 2(b).

 (i) Should the investigator be concerned that common pipistrelles may be outcompeting lesser horseshoe bats for food on the basis of the evidence she has collected? Explain your answer.

PART C

Question 8

Journal extract questions

Answer ALL parts of the question in Part C of the examination. You are advised to spend 45 minutes on this part of the paper. Your answers should be written concisely, but in sentences. You should include diagrams and calculations in your answer where appropriate. This part carries 20 marks.

This question relates to your reading of an extract from a published scientific journal paper that describes an experimental study of pollinators of arctic flowers over a typical flowering season in Greenland. It is expected that you have already read the entire extract of the journal paper, which is provided here again as a separate document.

Now read the exam questions relating to the journal extract and refer to it throughout when answering all of the question parts. A copy of the journal extract is enclosed with this paper as a separate insert.

(a) From their Introduction, what do the authors state regarding:

(i) The impact of the lengthened growing season in the Arctic?

(ii) The impact of weak interactions between plants and their pollinators?

(iii) The findings of Kevan et al., with regard to muscid flies?

(b) From their Methods:

(i) Why did the authors sample flower visits in both early-season and later season?

(ii) What is the recorded climate data for the study area, the Zackenberg valley? Provide the source reference details of these data.

 (iii) How did the authors test for the specific effect of fly-based, as opposed to wind-based, pollination on seed set?

(iv) How were samples of pollinators sampled?

(v) How was the significance of the data collected to test hypothesis 7 tested?

(c) From their Results,

(i) From data presented in Figure 2 of the journal extract, using the fitted lines, how does seed set success compare between the two conditions tested at an elevation of 200 m above sea level?

(ii) Contrast the seed set success across the range of elevations studied for the two conditions.

(iii) From data presented in Figure 3 of the journal extract, for seed set success of 0.4, approximately what proportion of muscid flies in this model are Spilogona sanctipaul. Explain how you derived your answer.

(d) What are the authors’ findings regarding Hypothesis 7 and what do they find surprising about these?

Purchase full solution by adding to cart

Last updated: Sep 02, 2021 10:08 AM

Can't find a resource? Get in touch

AcademicianHelp

Your one-stop website for academic resources, tutoring, writing, editing, study abroad application, cv writing & proofreading needs.

Get Quote
TOP