Premium Resources

We know the secret of your success

MT2562 -Structural Analysis (2019) Exam Solution2

$28.00

Examination Department of Mechanical Engineering ______________________________________________________________________

Course: Date, time: Examiner: Means: Grades:

MT2562 (MT2529), Structural Analysis

2019-08-20, 09:00 – 14:00
Ansel Berghuvud
Writing materials, pocket calculator
0 – 9 = F, 10 - 12 = E, 13 -15 = D, 16 - 18 = C, 19 -21 = B, 22 - 24 = A

Complete solutions in English must be submitted

___________________________________________________________________________

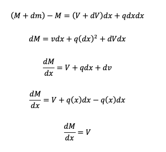
1. Consider an infinitesimally small part of a beam for which the assumed loads are shown in the figure 1.1 below.

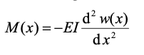
The bending moment is

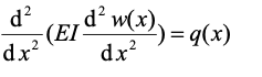
where E is the Young’s modulus, I is the moment of inertia about the y-axis, and w is the vertical deflection of the beam. Derive the differential equation for the Euler-Bernoulli beam theory given below.

Hint: Noticing that the terms qdx and dV are infinitesimal quantities imply that some terms in the moment equilibrium can be neglected. (3 p)

Answer (Incomplete)

Force Equilibrium

Moment Equilibrium

Purchase full solution by adding to cart

2. Consider an initial value problem governed by the equation

a) Determine the function value y?0.8? for the equation with an error of O?h3 ? using the Euler method combined with Richardson extrapolation, and also specify the total number of f-calculations needed for this. (2p)

b) Further, by knowing the Euler method has an error of O?h?, produce an estimate of how many steps that would be needed with the Euler method only for similar accuracy. (1p)

3. Consider the loaded cantilever beam with length L and constant bending stiffness EI shown in the figure 3.1 below.

a) Use the differential equation for the Euler-Bernoulli beam theory to determine the

b) Show the slope distribution in a diagram. (1p)

4. A car deck on a bridge is fastened by a hinge in one end and is resting on rollers in the other end. The deflection of the bridge when subject to the static weight of a car is to be estimated. A scaled physical model of the system is setup in a laboratory. The system is also modelled as a simply supported Euler-Bernoulli beam. Measurements on the physical model are carried out and the behaviour of the analytical model is computed by a numerical method.

Exemplify, explain, and motivate at least six types of errors that can be expected to get involved in these estimates of the bridge deflection. (3p)

6. (3 p)

The two-sided spectrum of the signal x(t) is shown in Figure 6.1.
The number of samples N = 512 with Fs = 256 Hz were acquired. The Matlab command fft() produced the spectrum X(k), where k = 0,...,511.

Estimate the magnitudes and the frequencies (in Hz) of the signal x(t) and write the mathematical expression for the signal x(t). A detailed description of the estimation process is required.

7.  For a sine-signal with amplitude A and frequency f, derive the R.M.S-value of the signal. (3 p)

8. Assume that the input-output relationship of a studied system can be modelled as a single-degree-of-freedom system with K = 100000 [N/m], as shown in Figure 8.1. In this model, f(t) is the applied force at the free end of the cantilever beam and x(t) is the displacement response at the free end.

a) Use the experimental results shown in Figure 8.2 to determine appropriate value on M [unit ?]. (1.5 p). The resonance frequency of the system in Figure 8.2 has to be increased to a new value, which is two times greater than the current resonance frequency.

b) What can be modified and how much? Give two options. For each option state the numerical value and correct unit. (1.5 p)

Purchase full solution by adding to cart

Last updated: Jun 11, 2020 09:20 AM

Can't find a resource? Get in touch

AcademicianHelp

Your one-stop website for academic resources, tutoring, writing, editing, study abroad application, cv writing & proofreading needs.

Get Quote
TOP