Premium Resources

We know the secret of your success

MT2529 (MT2415), Structural Analysis (2016) Exam Solution

$28.00

Examination Department of Mechanical Engineering ___________________________________________________________________________

Course: Date, time: Examiner: Means: Grades:

MT2529 (MT2415), Structural Analysis

2016-03-15, 15:00 – 20:00
Ansel Berghuvud
Writing materials, pocket calculator 0–9=F,10-12=E,13-15=D,16-18=C,19-21=B,22-24=A (0 – 9 p = NP, 10 – 13 p = 3, 14 – 18 p = 4, 19 – 24 p = 5) 0–9=F,10-12=E,13-15=D,16-18=C,19-21=B,22-24=A

Complete solutions in English must be submitted

ECTS: ___________________________________________________________________________

1. In the derivation of Euler-Bernoulli beam theory applied on homogeneous linear elastic isotropic material, the constitutive relation produces a contradiction. What is this contradiction and how is it handled in Euler-Bernoulli beam theory? Also give a plausible explanation to why the above-mentioned material properties are popular in engineering analyses. (3p)

Answer (Purchase paper by adding to cart)

All shear stresses are zero

Non-zero vertical shear stress in needed for shear force

This kind of inconsistency is typical of engineering theories that try to reformulate these three – dimensional problem into a simpler form.

 

2. What are the general solution steps of a problem involving numerical work? (3p)

3. Determine the function value y0.06 for the equation

with an error of Oh3 using the Euler method combined with Richardson extrapolation. Also specify the total number of f-calculations needed and produce an estimate of how many steps that would be needed with the Euler method only for similar accuracy. (3p)

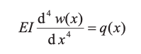
4. A simply supported beam shown in Figure 1 has a Young’s modulus E 2.110 N/m , a Length L 3.00 m, and a moment of inertia I bh3 12 m4 where it ?s rectangular cross section width is b 0.17 m and the cross section height is h 0.12 m. The beam has the total weight Q 25104 N which can be considered as a constant distributed load qx Q L .

According to the Euler-Bernoulli beam theory the problem is governed by the equation

Determine the static deflection of the beam at x 3L 4 , and specify which of the given data that gives the largest uncertainty in the result. (3p)

5. The following function is plotted in the interval [0 5) and is shown in Figure 5:

 

  1. i)  Find the values of a, b, w, and d. (2 p)
  2. ii)  Find the R.M.S value of z = y - a (1 p)

6. Write a MATLAB program and use “For-loop” command to generate Matrix A below. (3 p)

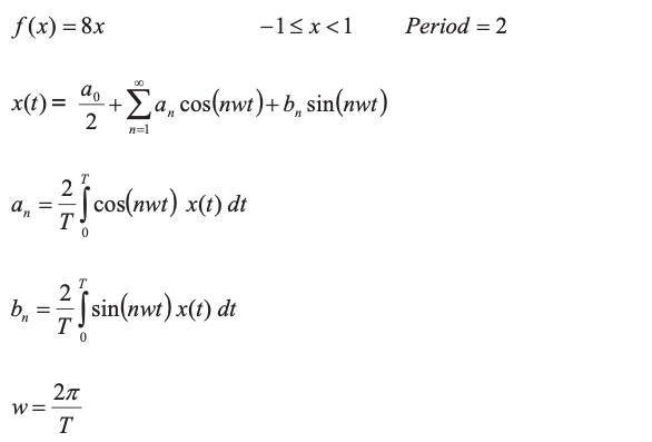
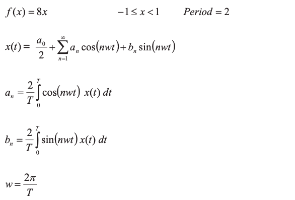
7. Calculate the Fourier series of the function f (x):  (3 p)


8. A mechanical system with a mass, spring and damper is shown in Figure 8 below.

a) Derive equation of motion of the system. (Neglect friction; C indicates viscous damper) (1.5 p)

b) Find the Transfer function (=X(s)/F(s)) of the system using Laplace Transform. X(s) and F(s) are Laplace transform of response and force, respectively. (1.5 p)

Examination Department of Mechanical Engineering ___________________________________________________________________________

Course: Date, time: Examiner: Means: Grades:

MT2529 (MT2415), Structural Analysis

2016-03-15, 15:00 – 20:00
Ansel Berghuvud
Writing materials, pocket calculator 0–9=F,10-12=E,13-15=D,16-18=C,19-21=B,22-24=A (0 – 9 p = NP, 10 – 13 p = 3, 14 – 18 p = 4, 19 – 24 p = 5) 0–9=F,10-12=E,13-15=D,16-18=C,19-21=B,22-24=A Complete solutions in English must be submitted

ECTS: ___________________________________________________________________________

1. In the derivation of Euler-Bernoulli beam theory applied on homogeneous linear elastic isotropic material, the constitutive relation produces a contradiction. What is this contradiction and how is it handled in Euler-Bernoulli beam theory? Also give a plausible explanation to why the above-mentioned material properties are popular in engineering analyses. (3p)

Answer (Purchase paper by adding to cart)

All shear stresses are zero

Non-zero vertical shear stress in needed for shear force

This kind of inconsistency is typical of engineering theories that try to reformulate these three – dimensional problem into a simpler form.

 

2. What are the general solution steps of a problem involving numerical work? (3p)

3. Determine the function value y0.06 for the equation

with an error of Oh3 using the Euler method combined with Richardson extrapolation. Also specify the total number of f-calculations needed and produce an estimate of how many steps that would be needed with the Euler method only for similar accuracy. (3p)

4. A simply supported beam shown in Figure 1 has a Young’s modulus E 2.110 N/m , a Length L 3.00 m, and a moment of inertia I bh3 12 m4 where it ?s rectangular cross section width is b 0.17 m and the cross section height is h 0.12 m. The beam has the total weight Q 25104 N which can be considered as a constant distributed load qx Q L .

According to the Euler-Bernoulli beam theory the problem is governed by the equation

Determine the static deflection of the beam at x 3L 4 , and specify which of the given data that gives the largest uncertainty in the result. (3p)

5. The following function is plotted in the interval [0 5) and is shown in Figure 5:

 

  1. i)  Find the values of a, b, w, and d. (2 p)
  2. ii)  Find the R.M.S value of z = y - a (1 p)

6. Write a MATLAB program and use “For-loop” command to generate Matrix A below. (3 p)

7. Calculate the Fourier series of the function f (x):  (3 p)


8. A mechanical system with a mass, spring and damper is shown in Figure 8 below.

a) Derive equation of motion of the system. (Neglect friction; C indicates viscous damper) (1.5 p)

b) Find the Transfer function (=X(s)/F(s)) of the system using Laplace Transform. X(s) and F(s) are Laplace transform of response and force, respectively. (1.5 p)

Purchase full paper answers by adding to cart

 

Last updated: Jun 13, 2020 09:18 AM

Can't find a resource? Get in touch

AcademicianHelp

Your one-stop website for academic resources, tutoring, writing, editing, study abroad application, cv writing & proofreading needs.

Get Quote
TOP