Premium Resources

We know the secret of your success

MT2529 (MT2415), Structural Analysis (2015) Exam Solution

$28.00

Examination Department of Mechanical Engineering ___________________________________________________________________________

Course: Date, time: Examiner: Means: Grades:

MT2529 (MT2415), Structural Analysis

2015-06-13, 09:00 – 14:00
Ansel Berghuvud
Writing materials, pocket calculator
0 – 9 = F, 10 - 12 = E, 13 -15 = D, 16 - 18 = C, 19 -21 = B, 22 - 24 = A (0 – 9 p = NP, 10 – 13 p = 3, 14 – 18 p = 4, 19 – 24 p = 5)
Complete solutions in English must be submitted

___________________________________________________________________________

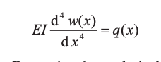
1. A simply supported beam shown in Figure 1.1 has a Young’s modulus E 2.110 N/m , a length L 3.5 m, and a moment of inertia I bh3 12 m4 where it ?s rectangular cross section width is b 0.15 m and the cross section height is h 0.12 m. The beam has the density 7.9103 kg/m3 and is subject to a constant distributed load qx Q L where Q 15104 N .

According to the Euler-Bernoulli beam theory the problem is governed by the equation

Determine the analytical solution for the static deflection of the beam and its value at x 3L 4 , and also specify and motivate which of the given data that gives the largest uncertainty in the result. (3p)

2. The study of error has become important in both the development of new numerical methods and in applying them to problems.

a) Describe three different possible sources of errors. (2p)

Answer (Purchase past paper to get the full solution)

Experimental Errors – Measurement errors

Truncation Errors – Caused by prematurely breaking off a sequence of computational steps necessary for producing an exact result

Round-off errors – Errors arising from the process of rounding off during computation. Especially during more arithmetic operations.

Programming errors – Blunders caused during programming

b) Explain what is meant by a stable computational algorithm. (1p)

If the errors in the intermediate results have little influence on the final results then the computational algorithm is known as the stable computational Algorithm

3. In the derivation of Euler-Bernoulli beam theory applied on homogeneous linear elastic isotropic material, the constitutive relation produces a contradiction. What is this contradiction and how is it handled in Euler-Bernoulli beam theory? Also explain why the beam theory would not be applicable to a beam like the one shown in Figure 1.1 in task 1 if the roller at the right support is replaced with a hinge as for the left support. (3p)

4. Consider again the beam problem given in task 1. Determine numerically by a weighted residual method the deflection at the position x 3L 4 . Also specify and motivate your choice of trial function and weight function.

5. Study the Matlab script given below:

x=3.*randn(2e7,1); N=length(x); a=(1/N).*sum(x); b=sqrt((1/N).*sum(x.^2)); c=(1/N).*sum(x.^3)/b^3; d=(1/N).*sum(x.^4)/b^4;

What are the expected values on the quantities a, b, c and d? (3p)

Note: The syntax for the Matlab function randn is given below:

>> help randn
RANDN Normally distributed random numbers.
RANDN(N) is an N-by-N matrix with random entries, chosen from
a normal distribution with mean zero, variance one and standard
deviation one.
RANDN(M,N) and RANDN([M,N]) are M-by-N matrices with random entries. RANDN(M,N,P,...) or RANDN([M,N,P...]) generate random arrays.
RANDN with no arguments is a scalar whose value changes each time it
is referenced. RANDN(SIZE(A)) is the same size as A.

6. A mechanical system with a mass, spring and viscous damper is shown in Figure 6.1 below.

a) Derive equation of motion of the system. (Neglect friction; C indicates viscous damper) (1 p)

b) Find the Transfer function ( ) of the system using Laplace Transform. X(s) and F(s)

are Laplace transform of response and force, respectively.  (2 p)

7. A sinusoid signal is shown in Figure 7.1.
a) Determine the frequency, amplitude and phase. (2p)

b) Calculate the r.m.s value of the signal. (1p)

8.

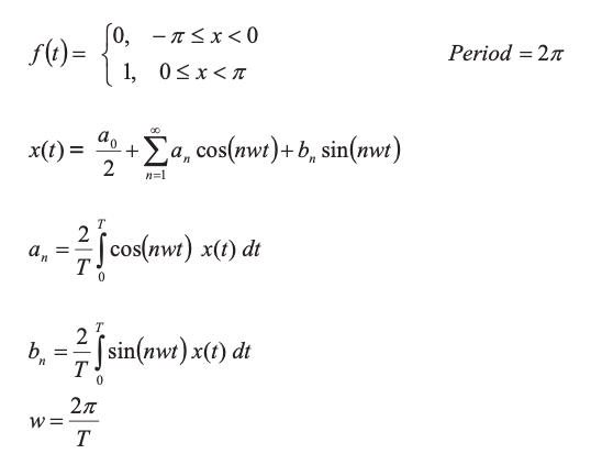
a) Calculate the Fourier series of the function f(x):  (2 p)

b) Calculate the Fourier Transform of the function f(t): (1p)

Use the definition for Fourier Transform:

Purchase past paper by adding to cart

Last updated: Jun 16, 2020 10:17 AM

Can't find a resource? Get in touch

AcademicianHelp

Your one-stop website for academic resources, tutoring, writing, editing, study abroad application, cv writing & proofreading needs.

Get Quote
TOP